Heaps Preparation
Overview
Another unique kind of tree, called a heap, can be used for implementing solutions to several different problems, including the priority queue ADT and a special sorting algorithm, heapsort. Today we’ll focus on this data structure and some of what it is used for.
Basic Learning Objectives
Before class, you should be able to:
- Define what the priority queue ADT is
 - Define what complete means for binary trees
 - Explain how a heap maintains its nodes
 
Advanced Learning Objectives
After class, you should be able to:
- Implement a heap
 - Analyze the time complexity of heap and priority queue operations
 
Reading
You should read the following:
Checks
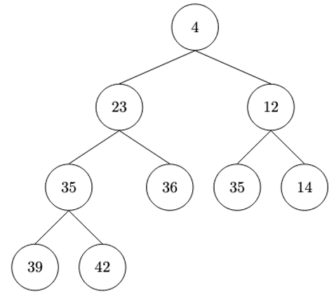
Submit your answers to the following on Moodle. Given this min-heap:

- Draw out the heap after inserting 11.
 - Given the min-heap after Q1, draw out the heap after inserting 2.
 - Given the min-heap after Q2, draw out the heap after calling delete 14.
 - Given the min-heap after Q3, draw out the heap after calling delete 4.