Binary Search Tree Preparation
Overview
We’ll now consider another very useful kind of tree that maintains items in sorted order: a binary search tree.
Basic Learning Objectives
Before class, you should be able to:
- Describe what a binary search tree is
 - Describe the differences between a binary tree and a binary search tree
 - Describe the operations of a binary search tree
 
Advanced Learning Objectives
After class, you should be able to:
- Understand binary search tree operations and their implementations in Kotlin
 - Analyze the run-time of binary search tree operations
 
Resources
You should read the following:
- 6.12 Binary Search Trees
 - 6.13 Search Tree Operations
 - 6.14 Search Tree Implementation
 - 6.15 Search Tree Analysis
 
Checks
Submit answers to the following on Moodle. Drawing out the trees will be tedious, so feel free to draw out your answers, take a picture or screenshot, and put it on Moodle.
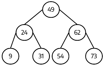
- Which of the following binary trees are valid binary search trees? Why?
 

- Given the following BST, what will it look like after trying to insert 42?
 

- What will the same BST look like after trying to delete 49?
 
Acknowledgements
Check question from Prof. Jean Salac.